Бразилець отримав її у матчі з Олександрією.
Лукас Тейлор, офіційний сайт Шахтаря
30 жовтня 2022, 13:43
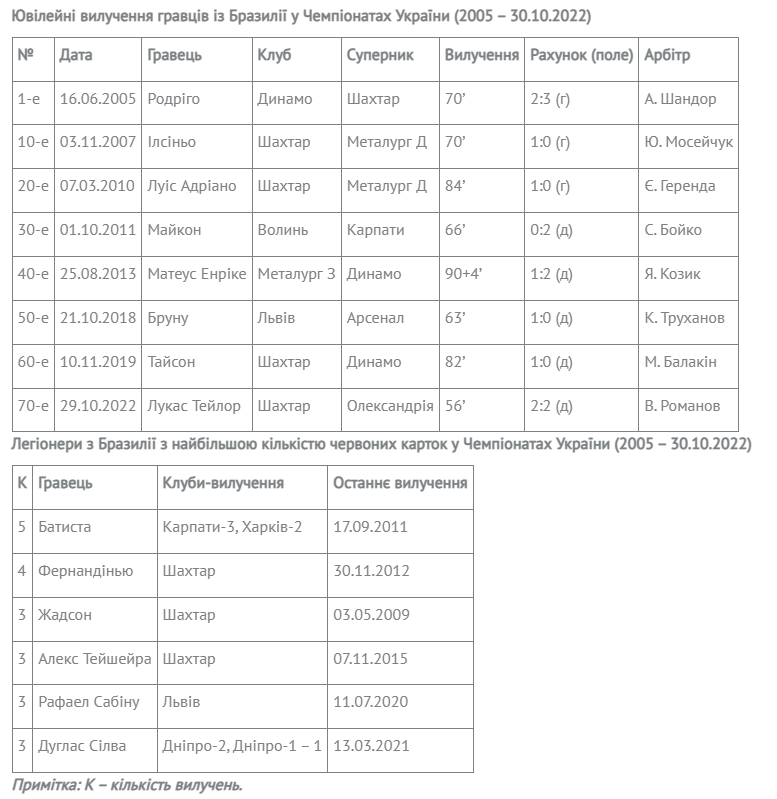
В матчі Шахтаря та Олександрії (2:2) вперше в УПЛ був вилучений з поля захисник донецького клубу Лукас Тейлор.
Як пише офіційний сайт УПЛ, Лукас став автором ювілейної, 70-ї, червоної картки для бразильських легіонерів усіх клубів за час їх виступів у чемпіонатах України.
Тейлор став також 50-м вилученим бразильцем. Найбільше вилучали Батисту, який у складі Карпат та Харкова 5 разів бачив перед собою "червоне світло".

На Football.ua доступний для перегляду відеоогляд матчу Шахтар — Олександрія.